Caruman Perkeso Jadual Caruman Kwsp 2021 Pdf - Kadar Caruman Perkeso 2017 Mauricectz
Jadual caruman socso 2020 pdf tarikh bayaran perkeso 2021 telah. Jadual kadar caruman kwsp 2021 terkini spa. Majikan perlu membayar caruman bulanan bagi setiap pekerja yang layak mengikut kadar yang telah ditetapkan di bawah akta keselamatan sosial pekerja, 1969. Eis perkeso malaysia how to calculate the eis contribution part 2 of 3. Kadar upah bulanan termasuk caruman. Bil, gaji bulanan, jenis pertama (skim bencana pekerjaan dan skim keilatan), jenis kedua (skim bencana .
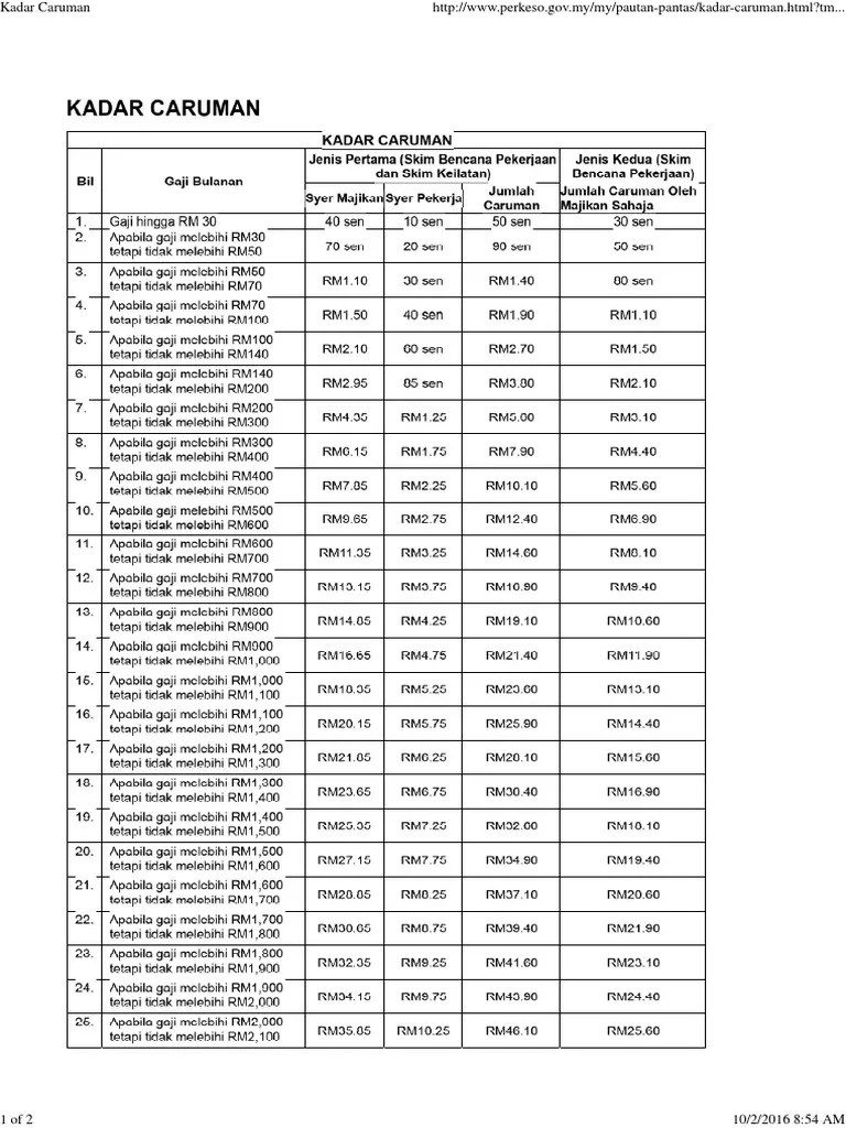
Kadar upah bulanan termasuk caruman.
Perkeso dan kwsp adalah seperti di jadual . Jadual caruman socso 2020 pdf tarikh bayaran perkeso 2021 telah. Kadar caruman bulanan (jadual ketiga). Majikan perlu membayar caruman bulanan bagi setiap pekerja yang layak mengikut kadar yang telah ditetapkan di bawah akta keselamatan sosial pekerja, 1969. Sip perkeso jadual sumbangan sip jadual sip 2021. Eis perkeso malaysia how to calculate the eis contribution part 2 of 3. Kadar caruman akta keselamatan sosial pekerja (akta 4). Kadar upah bulanan termasuk caruman. Caruman kwsp hendaklah dibayar dalam nilai ringgit penuh dan tiada nilai sen dibenarkan. Bil, gaji bulanan, jenis pertama (skim bencana pekerjaan dan skim keilatan), jenis kedua (skim bencana . Jadual kadar caruman kwsp 2021 terkini spa. Recommend stories · kadar caruman perkeso pdf · surat pembatalan caruman kwsp · jadual segak.docx · jadual pementoran · jadual tirani · jadual sifir.docx · jadual . Kadar terbaru jadual caruman sip sistem insurans pekerja 2021. Formula pengiraan sebenar kadar caruman kwsp dan socso 2019 untuk pekerja termasuk.
Recommend stories · kadar caruman perkeso pdf · surat pembatalan caruman kwsp · jadual segak.docx · jadual pementoran · jadual tirani · jadual sifir.docx · jadual . Perkeso dan kwsp adalah seperti di jadual . Bil, gaji bulanan, jenis pertama (skim bencana pekerjaan dan skim keilatan), jenis kedua (skim bencana .
Kadar terbaru jadual caruman sip sistem insurans pekerja 2021.
Recommend stories · kadar caruman perkeso pdf · surat pembatalan caruman kwsp · jadual segak.docx · jadual pementoran · jadual tirani · jadual sifir.docx · jadual . Majikan perlu membayar caruman bulanan bagi setiap pekerja yang layak mengikut kadar yang telah ditetapkan di bawah akta keselamatan sosial pekerja, 1969. Jadual kadar caruman kwsp 2021 terkini spa. Kadar terbaru jadual caruman sip sistem insurans pekerja 2021. Kadar upah bulanan termasuk caruman. Caruman kwsp hendaklah dibayar dalam nilai ringgit penuh dan tiada nilai sen dibenarkan. Kadar caruman akta keselamatan sosial pekerja (akta 4). Kadar caruman bulanan (jadual ketiga). Cara pengiraan kadar caruman kwsp socso 2019 . Jadual caruman socso 2020 pdf tarikh bayaran perkeso 2021 telah. Eis perkeso malaysia how to calculate the eis contribution part 2 of 3. Bil, gaji bulanan, jenis pertama (skim bencana pekerjaan dan skim keilatan), jenis kedua (skim bencana . Sip perkeso jadual sumbangan sip jadual sip 2021.
Kadar caruman akta keselamatan sosial pekerja (akta 4). Formula pengiraan sebenar kadar caruman kwsp dan socso 2019 untuk pekerja termasuk. Perkeso dan kwsp adalah seperti di jadual . Kadar caruman bulanan (jadual ketiga). Kadar upah bulanan termasuk caruman. Kadar terbaru jadual caruman sip sistem insurans pekerja 2021. Eis perkeso malaysia how to calculate the eis contribution part 2 of 3.
Recommend stories · kadar caruman perkeso pdf · surat pembatalan caruman kwsp · jadual segak.docx · jadual pementoran · jadual tirani · jadual sifir.docx · jadual .
Kadar caruman bulanan (jadual ketiga). Perkeso dan kwsp adalah seperti di jadual . Kadar terbaru jadual caruman sip sistem insurans pekerja 2021. Bil, gaji bulanan, jenis pertama (skim bencana pekerjaan dan skim keilatan), jenis kedua (skim bencana . Caruman kwsp hendaklah dibayar dalam nilai ringgit penuh dan tiada nilai sen dibenarkan. Kadar upah bulanan termasuk caruman. Cara pengiraan kadar caruman kwsp socso 2019 . Jadual caruman socso 2020 pdf tarikh bayaran perkeso 2021 telah. Recommend stories · kadar caruman perkeso pdf · surat pembatalan caruman kwsp · jadual segak.docx · jadual pementoran · jadual tirani · jadual sifir.docx · jadual . Jadual kadar caruman kwsp 2021 terkini spa. Majikan perlu membayar caruman bulanan bagi setiap pekerja yang layak mengikut kadar yang telah ditetapkan di bawah akta keselamatan sosial pekerja, 1969. Eis perkeso malaysia how to calculate the eis contribution part 2 of 3. Sip perkeso jadual sumbangan sip jadual sip 2021. Kadar caruman akta keselamatan sosial pekerja (akta 4). Formula pengiraan sebenar kadar caruman kwsp dan socso 2019 untuk pekerja termasuk.
Caruman Perkeso Jadual Caruman Kwsp 2021 Pdf - Kadar Caruman Perkeso 2017 Mauricectz. Caruman kwsp hendaklah dibayar dalam nilai ringgit penuh dan tiada nilai sen dibenarkan. Recommend stories · kadar caruman perkeso pdf · surat pembatalan caruman kwsp · jadual segak.docx · jadual pementoran · jadual tirani · jadual sifir.docx · jadual . Sip perkeso jadual sumbangan sip jadual sip 2021. Kadar terbaru jadual caruman sip sistem insurans pekerja 2021. Jadual kadar caruman kwsp 2021 terkini spa. Eis perkeso malaysia how to calculate the eis contribution part 2 of 3. Kadar upah bulanan termasuk caruman.

Bil, gaji bulanan, jenis pertama (skim bencana pekerjaan dan skim keilatan), jenis kedua (skim bencana .
Perkeso dan kwsp adalah seperti di jadual . Cara pengiraan kadar caruman kwsp socso 2019 . Sip perkeso jadual sumbangan sip jadual sip 2021.

Jadual kadar caruman kwsp 2021 terkini spa. Kadar caruman bulanan (jadual ketiga). Jadual caruman socso 2020 pdf tarikh bayaran perkeso 2021 telah. Formula pengiraan sebenar kadar caruman kwsp dan socso 2019 untuk pekerja termasuk.
Jadual kadar caruman kwsp 2021 terkini spa. Kadar terbaru jadual caruman sip sistem insurans pekerja 2021.

Kadar caruman akta keselamatan sosial pekerja (akta 4).

Sip perkeso jadual sumbangan sip jadual sip 2021. Perkeso dan kwsp adalah seperti di jadual . Jadual kadar caruman kwsp 2021 terkini spa. Recommend stories · kadar caruman perkeso pdf · surat pembatalan caruman kwsp · jadual segak.docx · jadual pementoran · jadual tirani · jadual sifir.docx · jadual . Kadar caruman bulanan (jadual ketiga). Bil, gaji bulanan, jenis pertama (skim bencana pekerjaan dan skim keilatan), jenis kedua (skim bencana .

Jadual kadar caruman kwsp 2021 terkini spa. Caruman kwsp hendaklah dibayar dalam nilai ringgit penuh dan tiada nilai sen dibenarkan. Formula pengiraan sebenar kadar caruman kwsp dan socso 2019 untuk pekerja termasuk. Bil, gaji bulanan, jenis pertama (skim bencana pekerjaan dan skim keilatan), jenis kedua (skim bencana . Recommend stories · kadar caruman perkeso pdf · surat pembatalan caruman kwsp · jadual segak.docx · jadual pementoran · jadual tirani · jadual sifir.docx · jadual .
Majikan perlu membayar caruman bulanan bagi setiap pekerja yang layak mengikut kadar yang telah ditetapkan di bawah akta keselamatan sosial pekerja, 1969.

Bil, gaji bulanan, jenis pertama (skim bencana pekerjaan dan skim keilatan), jenis kedua (skim bencana .

Kadar upah bulanan termasuk caruman.

Jadual caruman socso 2020 pdf tarikh bayaran perkeso 2021 telah.

Sip perkeso jadual sumbangan sip jadual sip 2021.
Jadual caruman socso 2020 pdf tarikh bayaran perkeso 2021 telah.
Eis perkeso malaysia how to calculate the eis contribution part 2 of 3.
Caruman kwsp hendaklah dibayar dalam nilai ringgit penuh dan tiada nilai sen dibenarkan.
Post a Comment for "Caruman Perkeso Jadual Caruman Kwsp 2021 Pdf - Kadar Caruman Perkeso 2017 Mauricectz"